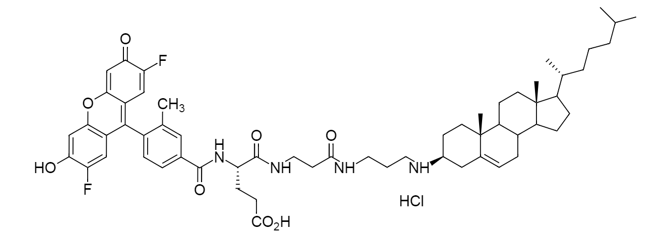
ËÕÖݱ±¿ÆÄÉÃ׿Ƽ¼ÓÐÏÞ¹«Ë¾Éú²úÏúÊÛ¡°PG-cholesterylamine|CAS1264272-41-4|PGµ¨¹Ì´¼°·¡±¡°Pennsylvania Green-cholesterylamine£¬·Ö×ÓÁ¿£º1043.73£¬¼¤·¢£¨nm£©£º498£¬·¢É䣨nm£©£º517£¬Îü¹â¶È£¨nm£©£º487£¬PG-µ¨¹Ì´¼°·ÊDZê¼ÇÓÐÓ«¹âËØÑÜÉúÎïPennsylvania Green£¨PG£©µÄN-Íé»ù-3¦Â-µ¨¹Ì´¼°·µÄÑÜÉúÎï¡£¡±£¬¸Ã²úÆ·½öÓÃÓÚ¿ÆÑУ¬Èç¹ûÐèÒªÇëÁªÏµÎÒÃÇ
| ²ÎÊýÐÅÏ¢ |
| Íâ¹Û״̬£º |
¹ÌÌå»ò·ÛÄ© |
| ÖÊÁ¿Ö¸±ê£º |
95%+ |
| ÈܽâÌõ¼þ£º |
ÓлúÈܼÁ/Ë® |
| CASºÅ£º |
N/A |
| ·Ö×ÓÁ¿£º |
N/A |
| ´¢´æÌõ¼þ£º |
-20¡æ±Ü¹â±£´æ |
| ´¢´æÊ±¼ä£º |
1Äê |
| ÔËÊäÌõ¼þ£º |
ÊÒÎÂ2ÖÜ |
| Éú²ú³§¼Ò£º |
ËÕÖݱ±¿ÆÄÉÃ׿Ƽ¼ÓÐÏÞ¹«Ë¾ |
| Warm tips: Suzhou Beike nano products are only used for scientific research, not for human body,different batches of products have different specifications and performance |
Message
|
|
 |
Scan code concerns WeChat official account
QQCommunication group£º1092348845
|
|
| Warm tips: Suzhou Beike nano products are only used for scientific research, not for human body,different batches of products have different specifications and performance.The website pictures are from the Internet. The pictures are for reference only. Please take the real object as the standard. In case of infringement, please contact us to delete them immediately. |